Acid Phosphatase (ACP) Activity Assay Kit (PNPP Method)
Référence E-BC-K010-M-96T
Conditionnement : 96T
Marque : Elabscience
| Detection Principle | Disodium p-nitrobenzene phosphate (p-NPP), a widely used phosphatase chromogenic substrate, can form p- nitrophenol under the action of acid phosphatase. Under alkaline conditions, p-nitrophenol is yellow and has a maximum absorption peak at 405 nm. The darker of the yellow product is, the higher of the ACP activity is. Therefore, the activity of ACP can be calculated by measuring the OD value at 405 nm. |
| Synonyms | ACP |
| Sample Type | Serum,Plasma,Tissue |
| Detection Method | Colorimetric method |
| Detection Instrument | Microplate reader (400-415 nm) |
| Research Area | Liver And Renal Function |
| Other Reagents Required | PBS (0.01 mol/L, pH 7.4) |
| Storage | This product can be stored at -20°C for 12 months with shading light. |
| Valid Period | 12 months |
| Sensitivity | 0.2 U/L |
| Detection Range | 0.2-50 U/L |
| Precision | inter-assay CV: 4.5% | intra-assay CV: 2.8% |
| Sample Volume | 80 μL |
| Assay Time | 30 min |
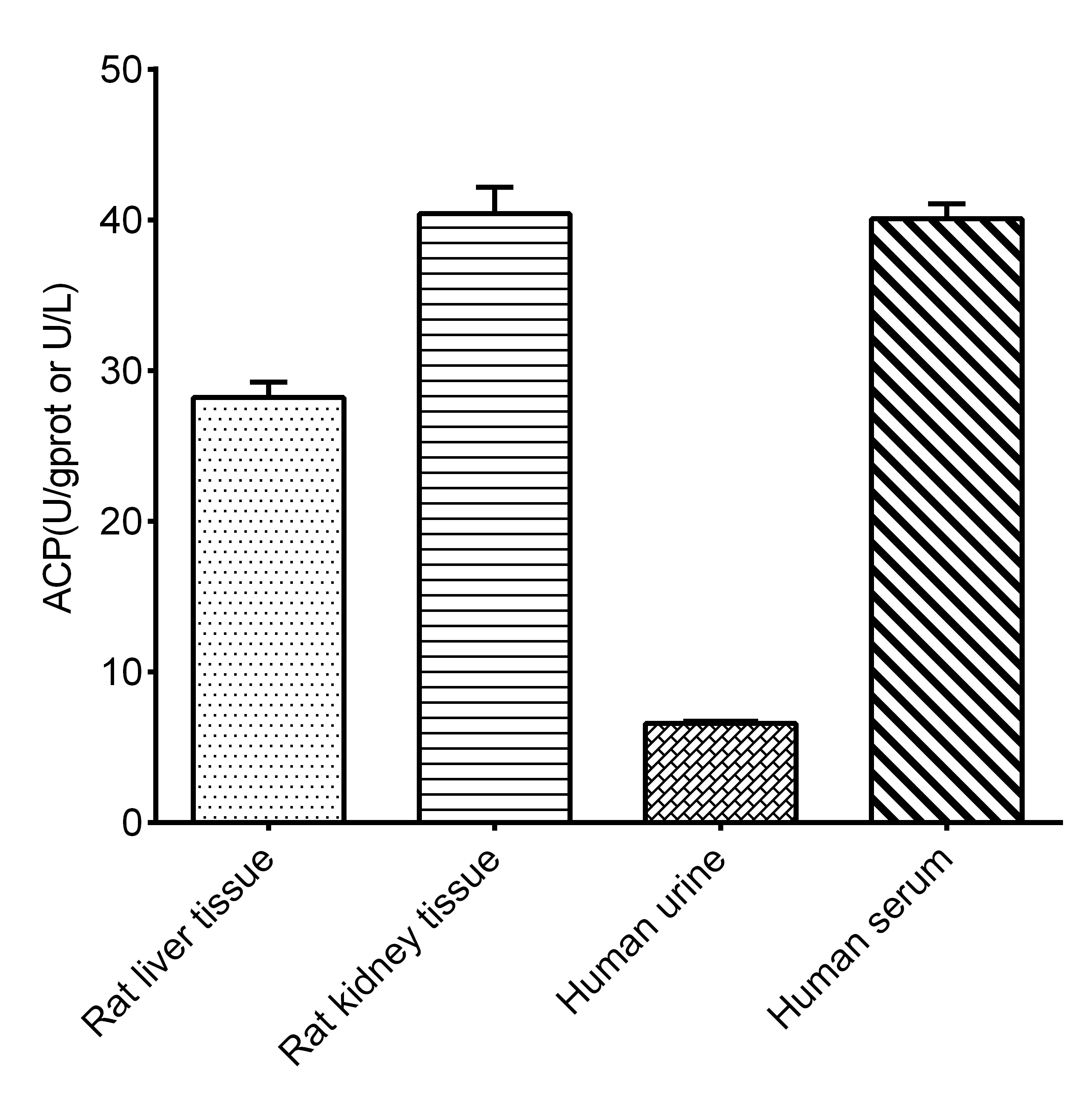
The recommended dilution factor for different samples is as follows (for reference only):
| Sample Type | Dilution Factor |
|---|---|
| 10% Epipremnum aureum tissue homogenate | 5-10 |
| Mouse plasma | 5-10 |
| Rat plasma | 5-10 |
| Human urine | 1 |
| Human plasma | 5-10 |
| 10% Rat spleen tissue homogenate | 20-30 |
| 10% Rat liver tissue homogenate | 20-30 |
| 10% Rat kidney tissue homogenate | 20-30 |
The diluent is normal saline (0.9% NaCl) or PBS (0.01 M, pH 7.4). For the dilution of other sample types, please do pretest to confirm the dilution factor.
| Cat.No. | Product Name | Clone No. |
|---|
-
IF:{{item.impact}}
Journal:{{item.journal}} ({{item.year}})
DOI:{{item.doi}}Reactivity:{{item.species}}
Sample Type:{{item.sample_type}}
-
Q{{(FAQpage.currentPage - 1)*pageSize+index+1}}:{{item.name}}

