Acid Phosphatase (ACP) Activity Assay Kit
Référence E-BC-K094-M-500
Conditionnement : 500Assays
Marque : Elabscience
| Detection Principle | Acid phosphatase decomposes disodium phenyl phosphate under acidic conditions to produce free phenol and phosphoric acid. Phenol acts with 4-aminoantipyrine in alkaline solution, and oxidizes to a derivative of red quinone by potassium ferricyanide. The activity of the ACP can be calculated by measuring the OD value at 520 nm. |
| Synonyms | ACP |
| Sample Type | Serum,Plasma,Hydrothorax,Urine,Cell,Cell culture supernatant,Animal tissue |
| Detection Method | Colorimetric method |
| Detection Instrument | Microplate reader (510-530 nm) |
| Research Area | Amino Acids And Proteins |
| Other Reagents Required | Normal saline (0.9% NaCl), PBS (0.01 mol/L, pH 7.4) |
| Storage | This product can be stored at 2-8°C for 12 months with shading light. |
| Valid Period | 12 months |
| Sensitivity | 1.40 U/100 mL |
| Detection Range | 1.40-40 U/100 mL |
| Precision | inter-assay CV: 9.4% | intra-assay CV: 2.1% |
| Sample Volume | 5 μL |
| Assay Time | 45 min |
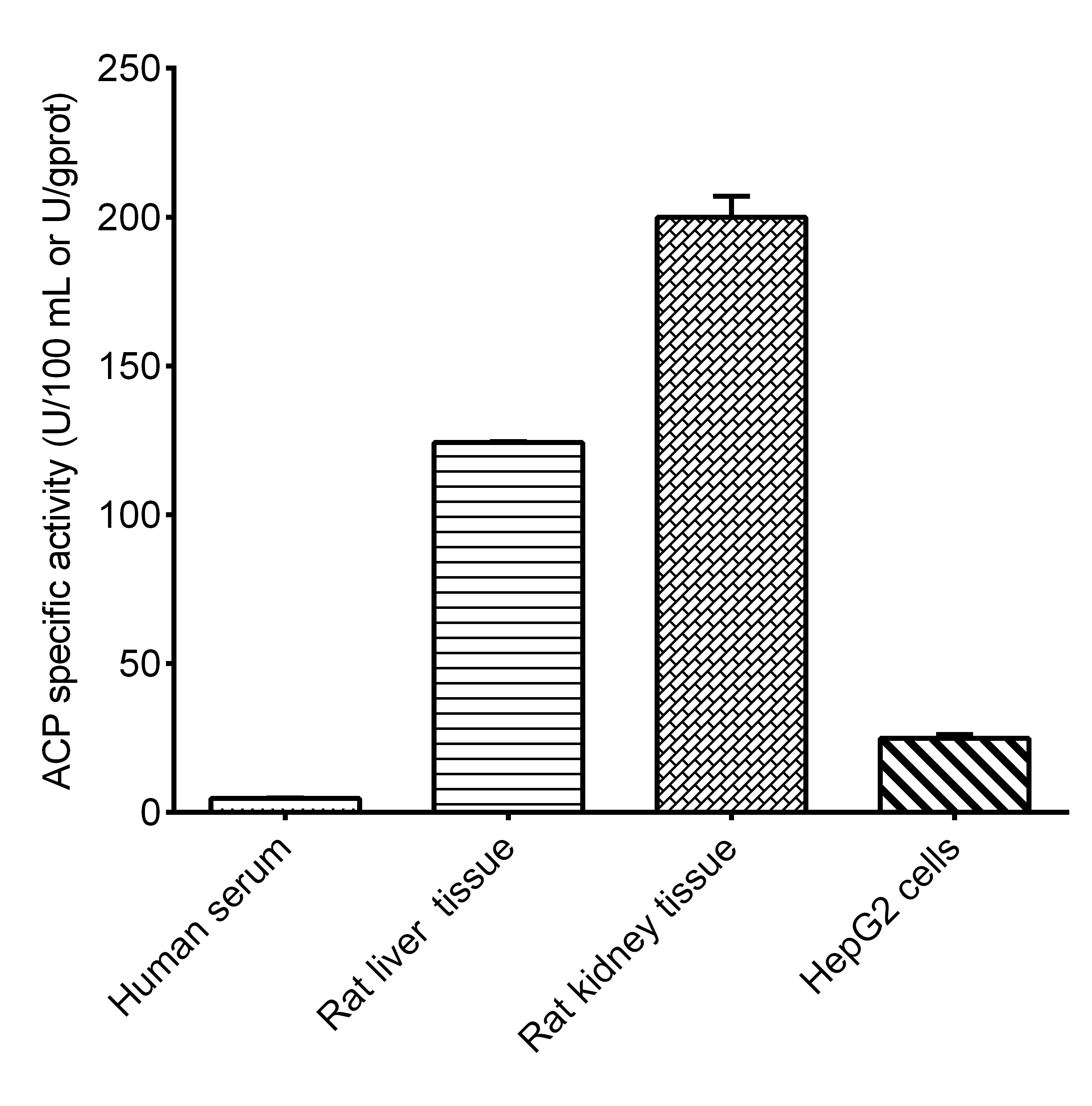
The recommended dilution factor for different samples is as follows (for reference only):
| Sample Type | Dilution Factor |
|---|---|
| Human serum | 1 |
| Humasn saliva | 1 |
| Chicken serum | 1 |
| Human urine | 1 |
| 10% Rat liver tissue homogenate | 4-10 |
| 10% Rat kidney tissue homogenate | 4-10 |
| HepG2 cells | 1 |
The diluent is normal saline (0.9% NaCl) or PBS (0.01 M, pH 7.4). For the dilution of other sample types, please do pretest to confirm the dilution factor.
| Cat.No. | Product Name | Clone No. |
|---|
-
IF:{{item.impact}}
Journal:{{item.journal}} ({{item.year}})
DOI:{{item.doi}}Reactivity:{{item.species}}
Sample Type:{{item.sample_type}}
-
Q{{(FAQpage.currentPage - 1)*pageSize+index+1}}:{{item.name}}

