Aldehyde Dehydrogenase (ALDH) Activity Assay Kit
Référence E-BC-K565-M-96T
Conditionnement : 96T
Marque : Elabscience
| Detection Principle | The detection principle of this kit is that the substrate under the action of aldehyde dehydrogenase transforms NAD+ into NADH, which under the action of electron coupling agent, transfer electrons to WST-8 to produce the yellow product. The activity of ADH can be calculated by measuring the change of absorbance value at 450 nm. |
| Synonyms | ALDH |
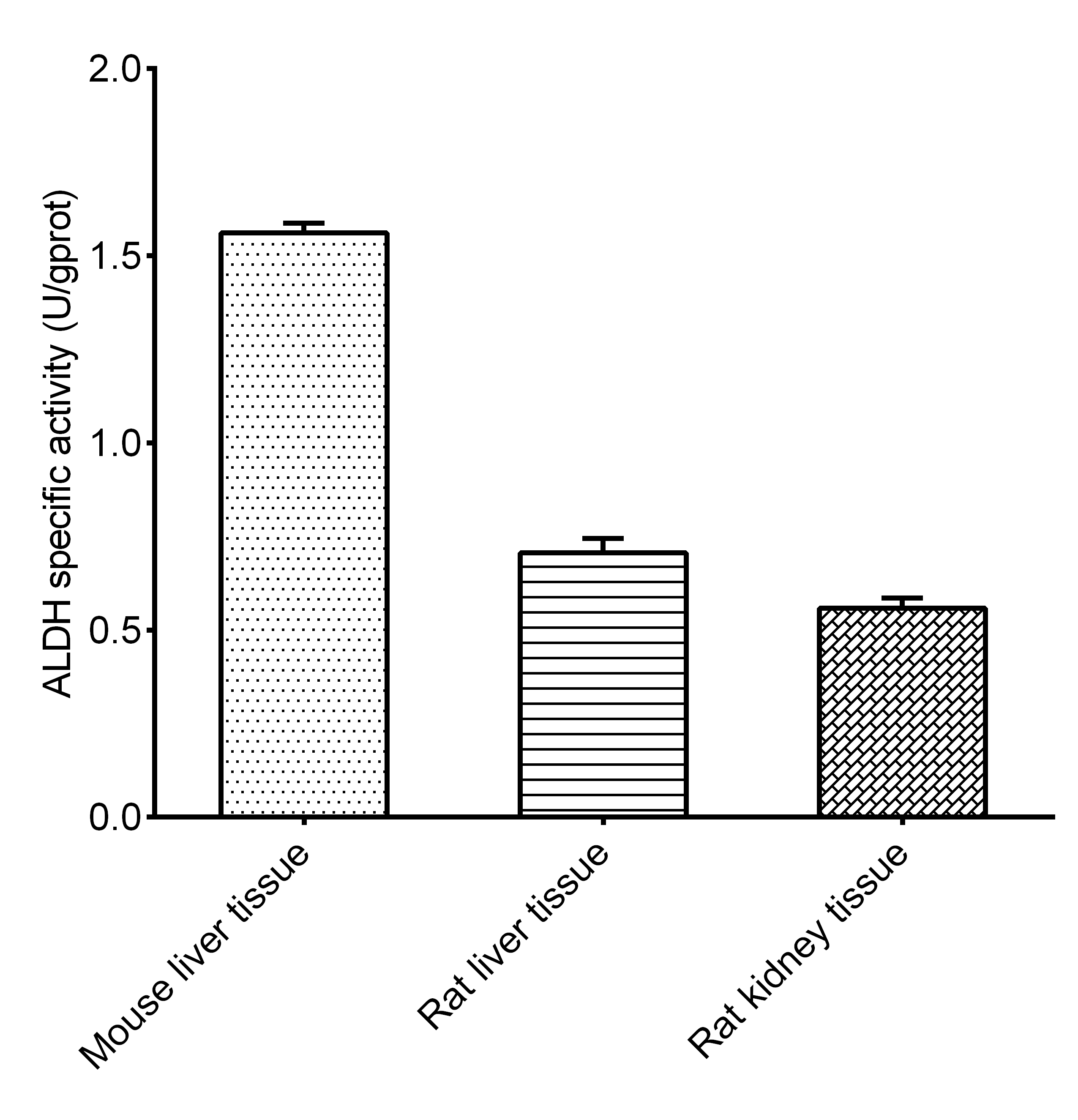
| Sample Type | Serum,Plasma,Animal tissue |
| Detection Method | Colorimetric method |
| Detection Instrument | Microplate reader (440-460 nm) |
| Research Area | Liver And Renal Function |
| Storage | This product can be stored at -20°C for 12 months with shading light. |
| Valid Period | 12 months |
| Sensitivity | 0.01 U/L |
| Detection Range | 0.01-10.0 U/L |
| Precision | inter-assay CV: 7.3% | intra-assay CV: 3% |
| Sample Volume | 20 μL |
| Assay Time | 1 h 20 min |
The recommended dilution factor for different samples is as follows (for reference only):
| Sample Type | Dilution Factor |
|---|---|
| 10% Rat kidney tissue homogenate | 4-8 |
| 10% Mouse kidney tissue homogenate | 4-8 |
| 10% Mouse liver tissue homogenate | 4-8 |
| 10% Mouse lung tissue homogenate | 4-8 |
| Mouse serum | 4-8 |
| Rat serum | 4-8 |
| Human serum | 4-8 |
| Rat plasma | 4-8 |
The diluent is normal saline (0.9% NaCl) or PBS (0.01 M, pH 7.4). For the dilution of other sample types, please do pretest to confirm the dilution factor.
| Cat.No. | Product Name | Clone No. |
|---|
-
IF:{{item.impact}}
Journal:{{item.journal}} ({{item.year}})
DOI:{{item.doi}}Reactivity:{{item.species}}
Sample Type:{{item.sample_type}}
-
Q{{(FAQpage.currentPage - 1)*pageSize+index+1}}:{{item.name}}

