ATP Colorimetric Assay Kit
Référence E-BC-K157-M-96T
Conditionnement : 96T
Marque : Elabscience
| Detection Principle | Creatine kinase catalyzes adenosine triphosphate and creatine to produce creatine phosphate. The content of phosphocreatine was determined by colorimetric method to reflect the content of ATP. |
| Synonyms | ATP |
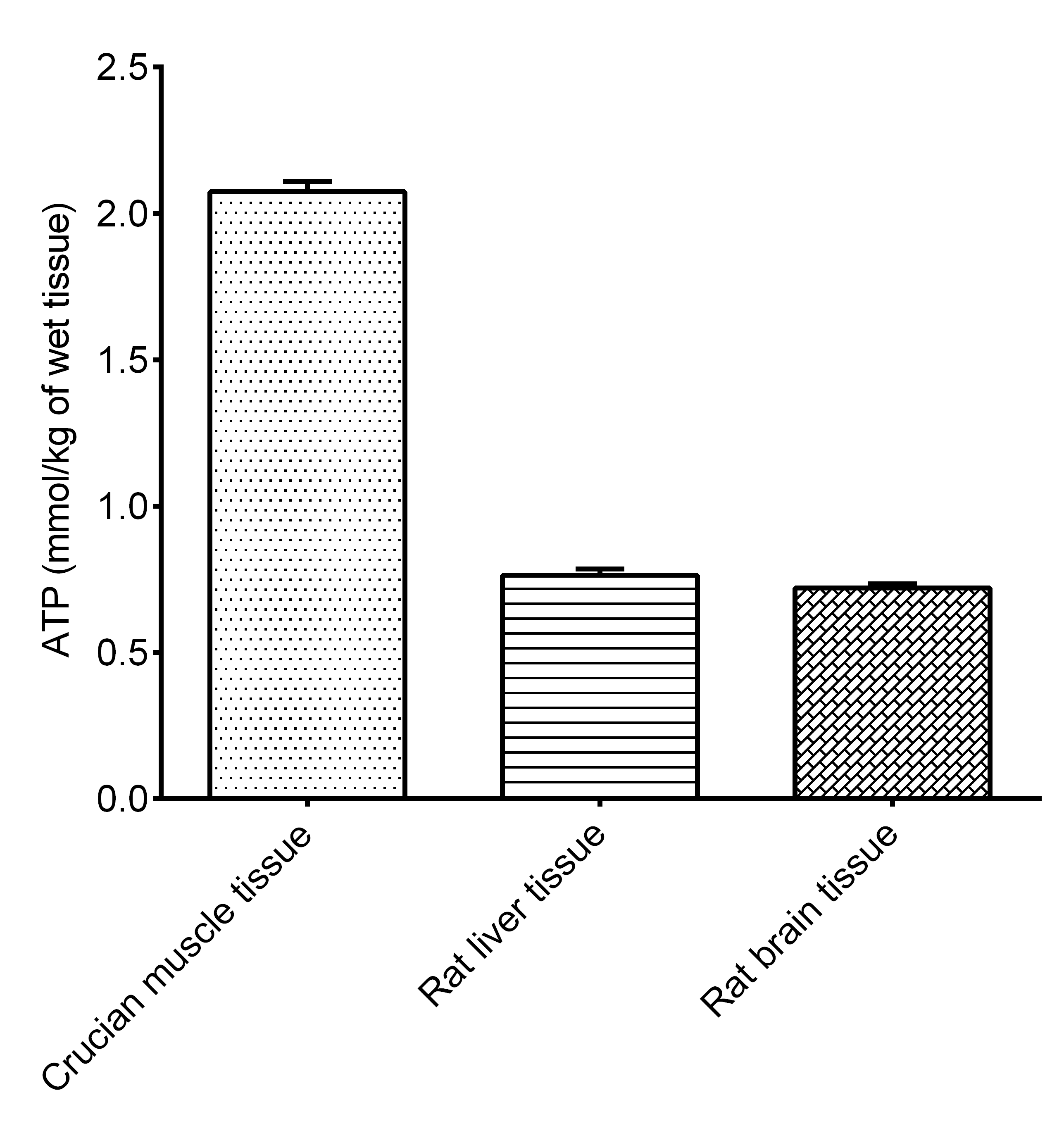
| Sample Type | Animal tissue |
| Detection Method | Colorimetric method |
| Detection Instrument | Microplate reader (630-640 nm) |
| Research Area | Oxidative Stress , Disulfidptosis , Energy Metabolism |
| Storage | This product can be stored at 2-8°C/-20°C for 12 months with shading light. Please refer to the manual for the specific storage condition of the components. |
| Valid Period | 12 months |
| Sensitivity | 0.01 mmol/L |
| Detection Range | 0.03-1.5 mmol/L |
| Precision | inter-assay CV: 5.4% | intra-assay CV: 5.1% |
| Sample Volume | 60 μL(tissue homogenate) |
| Assay Time | 1 h |
The recommended dilution factor for different samples is as follows (for reference only):
| Sample Type | Dilution Factor |
|---|---|
| 10% Rat muscle tissue homogenate | 2-4 |
| 10% Rat liver tissue homogenate | 2-4 |
| 10% Mouse brain tissue homogenate | 2-4 |
| 10% Rat kidney tissue homogenate | 2-4 |
| 10% Rat lung tissue homogenate | 2-4 |
The diluent is normal saline (0.9% NaCl) or PBS (0.01 M, pH 7.4). For the dilution of other sample types, please do pretest to confirm the dilution factor.
| Cat.No. | Product Name | Clone No. |
|---|
-
IF:{{item.impact}}
Journal:{{item.journal}} ({{item.year}})
DOI:{{item.doi}}Reactivity:{{item.species}}
Sample Type:{{item.sample_type}}
-
Q{{(FAQpage.currentPage - 1)*pageSize+index+1}}:{{item.name}}

