Clinisciences > S-Adenosyl methionine ELISA Kit
S-Adenosyl methionine ELISA Kit
Référence OKEH02593
Conditionnement : 96Wells
Marque : Aviva Systems Biology
SKU
OKEH02593
Availability: Domestic: within 1-2 weeks delivery | International: 1-2 weeks
Please contact customer service when ordering 10+ kits.
Bulk
Order
Order
Aviva's
Satisfaction
Guarantee
Satisfaction
Guarantee
Contact Us:
- Toll Free: 888-880-0001
- Phone: 858-552-6979
- Email: info@avivasysbio.com
Shipping Info:
- : Antibody & Protein in US
- + /Kit in US
- Contact us for international orders.
S-Adenosyl methionine ELISA Kit (OKEH02593)
| Datasheets/Manuals | Printable datasheet for S-Adenosyl methionine ELISA Kit (OKEH02593) |
|---|---|
| COA Datasheet | Printable COA datasheet for OKEH02593 |
| Predicted Species Reactivity | All Species | ||||||||||||||||||||||
|---|---|---|---|---|---|---|---|---|---|---|---|---|---|---|---|---|---|---|---|---|---|---|---|
| Application | ELISA-Comp | ||||||||||||||||||||||
| ELISA Kit Detection Method | Colorimetric, OD450 nm | ||||||||||||||||||||||
| ELISA Kit Duration | ~ 3 Hours | ||||||||||||||||||||||
| ELISA Kit Principle | Aviva Systems Biology S-Adenosyl methionine ELISA Kit (OKEH02593) is based on a competitive enzyme immunoassay technique. The microtiter well-plate in this kit has been pre-coated with an anti-S-Adenosyl methionine antibody. Sample or standards are added to the wells along with a fixed quantity of biotinylated S-Adenosyl methionine and incubated. The S-Adenosyl methionine found in the sample or standards competes with the biotinylated S-Adenosyl methionine for limited binding sites on the immobilized anti-S-Adenosyl methionine antibody. Excess unbound biotinylated S-Adenosyl methionine and sample or standard S-Adenosyl methionine is washed from the plate. Avidin-HRP conjugate is added, incubated and washed. An enzymatic reaction is then produced through the addition of TMB substrate which is catalyzed by the immobilized HRP to generate a blue color product that changes yellow after adding acidic stop solution. The density of yellow coloration is measured by reading the absorbance at 450 nm which is quantitatively proportional to the amount of biotinylated S-Adenosyl methionine captured in the well and inversely proportional to the amount of S-Adenosyl methionine which was contained in the sample or standard. | ||||||||||||||||||||||
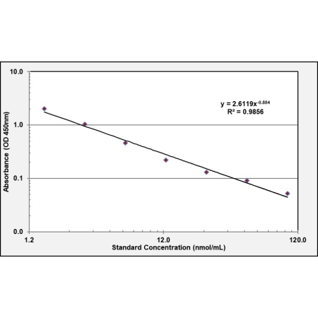
| ELISA Kit Range | 1.56-100nmol/L | ||||||||||||||||||||||
| ELISA Kit Reproducibility | Mean Intra-assay CV%: < 4.1% (n = 20) Mean Inter-assay CV%: < 7.4% (n = 20) | ||||||||||||||||||||||
| ELISA Kit Component |
| ||||||||||||||||||||||
| Additional Information | Target Abbr: SAM Target Name: S-Adenosyl methionine | ||||||||||||||||||||||
| :: | Pubchem: 34756 | ||||||||||||||||||||||
| :: | Chemical formula: C15H23N6O5S+ | ||||||||||||||||||||||
| Reconstitution and Storage | Store as indicated in product manual. | ||||||||||||||||||||||
| Sample Type | Serum, plasma, tissue homogenates, cell culture supernatants and other biological fluids | ||||||||||||||||||||||
| Sensitivity | 0.38nmol/L | ||||||||||||||||||||||
| Specificity | Natural and recombinant General S-Adenosyl methionine | ||||||||||||||||||||||
| Assay Info | Assay Methodology: Quantitative Competitive ELISA |
| Alias Symbols | SAM, S-Adenosyl methionine, SAM |
|---|---|
| Protein Name | S-Adenosyl methionine |
| Description of Target | S-Adenosyl methionine (ademetionine, AdoMet, SAM, SAMe, SAM-e) is a common cosubstrate involved in methyl group transfers. SAM was first discovered in Italy by G. L. Cantoni in 1952. It is made from adenosine triphosphate (ATP) and methionine by methionine adenosyltransferase (EC 2.5.1.6). Transmethylation, transsulfuration, and aminopropylation are the metabolic pathways that use SAM. Although these anabolic reactions occur throughout the body, most SAM is produced and consumed in the liver. The methyl group (CH3) attached to the methionine sulfur atom in SAM is chemically reactive. This allows donation of this group to an acceptor substrate in transmethylation reactions. More than 40 metabolic reactions involve the transfer of a methyl group from SAM to various substrates, such as nucleic acids, proteins, lipids and secondary metabolites. In bacteria, SAM is bound by the SAM riboswitch, which regulates genes involved in methionine or cysteine biosynthesis. |


