Creatine kinase (CK) Activity Assay Kit
Cat# E-BC-K558-S-100
Size : 100Assays
Marca : Elabscience
| Detection Principle | Creatine kinase (CK) catalyze creatine phosphate and ADP to produce creatine and ATP. Hexokinase catalyze creatine and glucose to produce glucose-6-phosphate. Glucose-6-phosphate dehydrogenase (G-6-PD) catalyze glucose-6-phosphate and NADP+ to produce NADPH which have a maximum absorption peak at 340 nm. The CK activity can be calculated by measuring the OD values at 340 nm. |
| Synonyms | CK;Creatine phosphokinase |
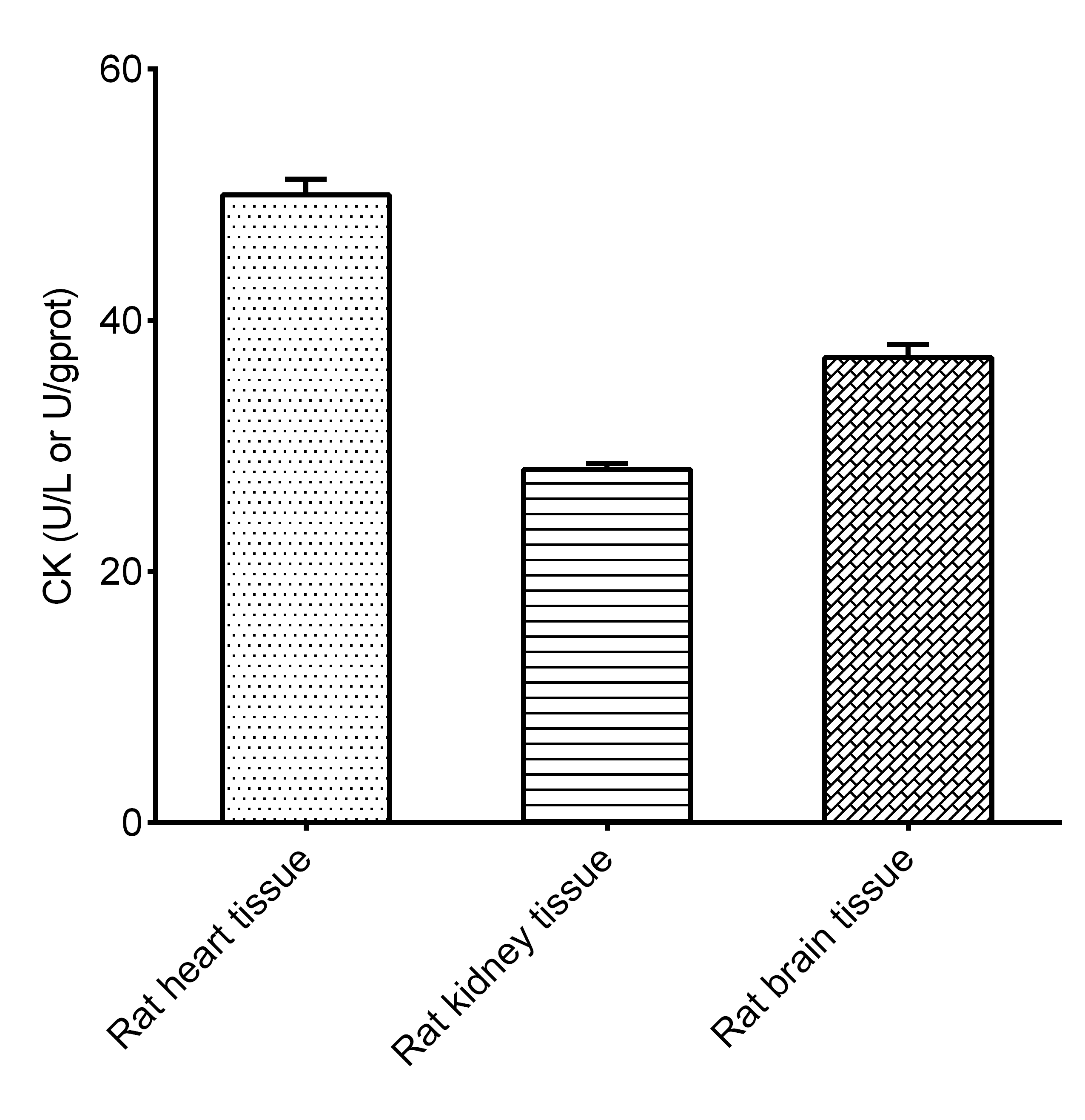
| Sample Type | Serum,Plasma,Animal tissue,Cell |
| Detection Method | Colorimetric method |
| Detection Instrument | Spectrophotometer (340 nm) |
| Research Area | Amino Acids And Proteins |
| Other Reagents Required | PBS (0.01 mol/L, pH 7.4) |
| Storage | This product can be stored at 2-8°C for 12 months with shading light. |
| Valid Period | 12 months |
| Sensitivity | 3.7 U/L |
| Detection Range | 3.7-160 U/L |
| Precision | inter-assay CV: 8.1% | intra-assay CV: 5.2% |
| Sample Volume | 50 μL |
| Assay Time | 1 h 20 min |
The recommended dilution factor for different samples is as follows (for reference only):
| Sample Type | Dilution Factor |
|---|---|
| Human serum | 1 |
| Human plasma | 1 |
| Mouse serum | 1 |
| Rat serum | 1 |
| HepG2 cells homogenization | 1 |
| 10% Rat kidney tissue homogenization | 1 |
| 10% Rat brain tissue homogenization | 2-5 |
| 10% Rat liver tissue homogenization | 2-10 |
The diluent is normal saline (0.9% NaCl) or PBS (0.01 M, pH 7.4). For the dilution of other sample types, please do pretest to confirm the dilution factor.
| Cat.No. | Product Name | Clone No. |
|---|
-
IF:{{item.impact}}
Journal:{{item.journal}} ({{item.year}})
DOI:{{item.doi}}Reactivity:{{item.species}}
Sample Type:{{item.sample_type}}
-
Q{{(FAQpage.currentPage - 1)*pageSize+index+1}}:{{item.name}}

