Valine ELISA Kit
Cat# OKEH02611
Size : 96Wells
Marca : Aviva Systems Biology
Valine ELISA Kit (OKEH02611)
| Datasheets/Manuals | Printable datasheet for Valine ELISA Kit (OKEH02611) |
|---|
| Predicted Species Reactivity | All Species | ||||||||||||||||||||||
|---|---|---|---|---|---|---|---|---|---|---|---|---|---|---|---|---|---|---|---|---|---|---|---|
| Application | ELISA-Comp | ||||||||||||||||||||||
| ELISA Kit Detection Method | Colorimetric, OD450 nm | ||||||||||||||||||||||
| ELISA Kit Duration | ~ 3 Hours | ||||||||||||||||||||||
| ELISA Kit Principle | Aviva Systems Biology Valine ELISA Kit (OKEH02611) is based on a competitive enzyme immunoassay technique. The microtiter well-plate in this kit has been pre-coated with an anti-Valine antibody. Sample or standards are added to the wells along with a fixed quantity of biotinylated Valine and incubated. The Valine found in the sample or standards competes with the biotinylated Valine for limited binding sites on the immobilized anti-Valine antibody. Excess unbound biotinylated Valine and sample or standard Valine is washed from the plate. Avidin-HRP conjugate is added, incubated and washed. An enzymatic reaction is then produced through the addition of TMB substrate which is catalyzed by the immobilized HRP to generate a blue color product that changes yellow after adding acidic stop solution. The density of yellow coloration is measured by reading the absorbance at 450 nm which is quantitatively proportional to the amount of biotinylated Valine captured in the well and inversely proportional to the amount of Valine which was contained in the sample or standard. | ||||||||||||||||||||||
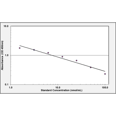
| ELISA Kit Range | 1.56-100nmol/mL | ||||||||||||||||||||||
| ELISA Kit Reproducibility | Mean Intra-assay CV%: < 4.6% (n = 20) Mean Inter-assay CV%: < 7.1% (n = 20) | ||||||||||||||||||||||
| ELISA Kit Component |
| ||||||||||||||||||||||
| Additional Information | Target Abbr: VAL Target Name: Valine | ||||||||||||||||||||||
| :: | Pubchem: 6287 | ||||||||||||||||||||||
| :: | Chemical formula: C5H11NO2 | ||||||||||||||||||||||
| Reconstitution and Storage | Store as indicated in product manual. | ||||||||||||||||||||||
| Sample Type | Serum, plasma, tissue homogenates, cell culture supernatants and other biological fluids | ||||||||||||||||||||||
| Sensitivity | 0.34nmol/mL | ||||||||||||||||||||||
| Specificity | Natural and recombinant General Valine | ||||||||||||||||||||||
| Assay Info | Assay Methodology: Quantitative Competitive ELISA |
| Alias Symbols | VAL, Valine, VAL |
|---|---|
| Protein Name | Valine |
| Description of Target | Valine is an aliphatic and extremely hydrophobic essential amino acid in humans related to leucine, Valine is found in many proteins, mostly in the interior of globular proteins helping to determine three-dimensional structure. A glycogenic amino acid, valine maintains mental vigor, muscle coordination, and emotional calm. Valine is obtained from soy, cheese, fish, meats and vegetables. Valine supplements are used for muscle growth, tissue repair, and energy. |


